MTI | SKU:
Lib-SEBS-US
SEBS Polymer for Li-S Composite Electrolyte (100 g) - Lib-SEBS-US
Regular price
€133,93
Unit price
/
Unavailable
Couldn't load pickup availability
Delivery and Shipping to EU
Delivery and Shipping to EU
We will add in the quotation, the shipping, insurance, customs clearance costs.
SEBS Polymer for Li-S Composite Electrolyte (100 g) - Lib-SEBS-US
MTI
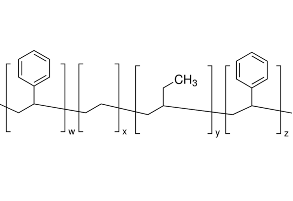
SEBS polymer powder is used in conjunction with P-xylene Solvent and Li-S to enable flexible solid-state lithium sulfur-based electrolyte.
SEBS is also known as polystyrene-block-poly(ethylene-ran-butylene)-block-polystyrene.
Mixing guide:
For mixing and film casting, please look at the conclusion for "Composite Film Casting".
SEBS is also known as polystyrene-block-poly(ethylene-ran-butylene)-block-polystyrene.
Mixing guide:
For mixing and film casting, please look at the conclusion for "Composite Film Casting".
Specification:
Appearance: White powder
Viscosity: 1000~1900 cps
Purity: ?99%
Storage and Handling:
Powder in a bottle covered by vacuum Al bag
Non-hazardous product
Store in a dry area
Application Notes:
Please click to see Flexible Solid-State Composite Electrolytes
